Пока одни врачи скорой в Нижегородской области собираются устроить забастовку, в другом районе главный врач Шахунской ЦРБ в Нижегородской области Сергей Золотов решил население и вовсе оставить без подстанции.
Пока одни врачи скорой в Нижегородской области собираются устроить забастовку, в другом районе главный врач Шахунской ЦРБ в Нижегородской области Сергей Золотов решил население и вовсе оставить без подстанции.
"Доктор Зло" – так "ласково" за глаза называют главного врача Шахунской центральной районной больницы Сергея Золотова за то, что он уже в течение нескольких лет, вполне целенаправленно занимается "оптимизацией" сельских больничек по своему собственному сценарию.
Инфопресса еще в мае прошлого, 2023 года рассказывал о жестких методах шахунского эскулапа в журналистском расследовании "Кто вы, доктор Золотов?"
Помнится, что через 24 часа после выхода расследования о цирковых "представлениях" главного врача Шахунской ЦРБ, в редакции Инфопресса раздался телефонный звонок. Звонили из Шахунского межрайонного следственного отдела, и с ходу начали пугать всевозможными следственными действиями, мол, хорошего доктора с навозом смешали. По всей видимости, шахунские следователи вместе с семьями лечатся у доктора Золотова, поэтому в обиду главного врача не дают, но и на откровенные "косяки" в работе г-на Золотова внимания не обращают.
Об этом пишут в Редакцию обитатели рабочих поселков Сява и Вахтан, которые скоро вообще могут остаться безо всякой медицинской помощи: главный врач Шахунской ЦРБ нынче грозится закрыть рентген-кабинет, лабораторию, подстанцию "Скорой помощи" у жителей Сявы.
А жить-то как в "медвежьем углу"? По -волчьи выть? А в это время, оказывается, г-н Золотов занимается приобретением дорогостоящего медицинского оборудования, но отнюдь не для Сявы или Вахтана.
В совершенно дикой ситуации разбирался корреспондент Инфопресса в Нижегородской области.
Таким образом, Сява и Вахтан скоро могут остаться только с драными матрасами в больничных корпусах.
А ведь раньше в том же поселке Сява были даже специалисты узкого профиля, работала добротная сельская больница.

Фото: Rusprofile.ru
И где это все, доктор Золотов?

Фото: Rusprofile.ru
А что пишут в Редакцию люди?
"Выражаем благодарность за вашу помощь далекому, брошенному поселку, о котором постоянно забывают все, включая нашего нижегородского губернатора Глеба Никитина. Только благодаря вашей помощи и неравнодушию журналистов наши дети учатся в теплой школе, а не в ледяном клубе, у них есть компьютеры и даже быстрый интернет. Благодаря Инфопресса отремонтирована дорога от Шахуньи до Доронкино: до Сявы осталось всего 8 км бездорожья.
Но пришла еще одна беда, которую мы совсем не ждали. Для нас страшная беда. ДокторЗоло тов, главный врач Шахунской ЦРБ закрывает в поселке подстанцию "Скорой помощи", а также фельдшерский пункт и лабораторию!

Поселок Сява. Фото прислано авторами письма в Редакцию.
И цинично оставляет жителей поселка Сява без гарантированной государством медицинской помощи. Зато, насколько нам известно, постоянно покупает новенькое медицинское оборудование в Шахунскую ЦРБ. Просим вас вмешаться в дикую ситуацию, с уважением – жители поселка Сява".
Действительно, Сергея Николаевича Золотова на его "хлебном" месте давно интересуют не больные и их "болячки", а госзакупки.
Ведь на этом можно "наварить" немалые денежки, особенно если в "команде" работают понятливые люди, свои в доску!
Шахунская ЦРБ прирастает новеньким оборудованием.

Документ прислан авторами письма в Редакцию
В сентябре 2022 года в ЦРБ приехал современный маммограф: рентгеномаммографический цифровой аппарат.

Документ прислан авторами письма в Редакцию
Это полностью цифровой стационарный аппарат нового поколения, оснащенный автоматизированным рабочим местом врача-рентгенолога. Уже установлен и запущен в работу.
Как происходят госзакупки?
Тут, судя по документам, у главного врача Золотова давно и надежно все под контролем.
Так, в июле 2022 г. -н Золотов возглавляет комиссию по подведению итогов электронного аукциона по приобретению маммографа.

Документ прислан авторами письма в Редакцию
Организатор – Государственное казенное учреждение Нижегородской области "Центр размещения заказа Нижегородской области".
Заказчик – Шахунская ЦРБ. Начальная цена - 11 700 000. И тут сразу возникает вопрос – откуда взялась такая цена?
Ведь этот отечественный маммограф, о котором идет речь, стоит значительно дешевле! По наши сведениям его себестоимость намного ниже!
И кто же поставщик?

Фото: Rusprofile.ru
И вот тут начинается много интересного: доктор Золотов заключает госконтракты с неким мутным ООО "Зелмедсервис".
Возглавляет эту контору не менее мутный Павел Юрьевич Степин, в биографии которого немало "белых" пятен.

Фото: Rusprofile.ru
Почему же доктор Золотов остановил свой выбор именно на ООО "Зелмедсервис"? С мутным ООО легче работать?

Фото: Rusprofile.ru
И как именно районные больницы закупают новое медицинское оборудование? И тут тоже впору задавать вопросы следственным органам, поскольку госконтракты заключаются сразу несколькими больницами. А с какого потолка берутся цены? Но, по всей видимости, в курсе таких электронных аукционов и Министерство здравоохранения Нижегородской области (министр Галина Михайлова) и федеральный Минздрав ( министр Михаил Мурашко)?

Документ прислан авторами письма в Редакцию

Министр здравоохранения Нижегородской области Галина Михайлова. Фото: https://govoritnn.ru/galina-mihajlova-naznachena-ministrom-zdravoohranenija-nizhegorodskoj-oblasti/
У г-на Степина было много интересных компаний, в частности, ООО "Автолюкс" и ООО "Автомаг".
И много судебных процессов.

Фото: Rusprofile.ru
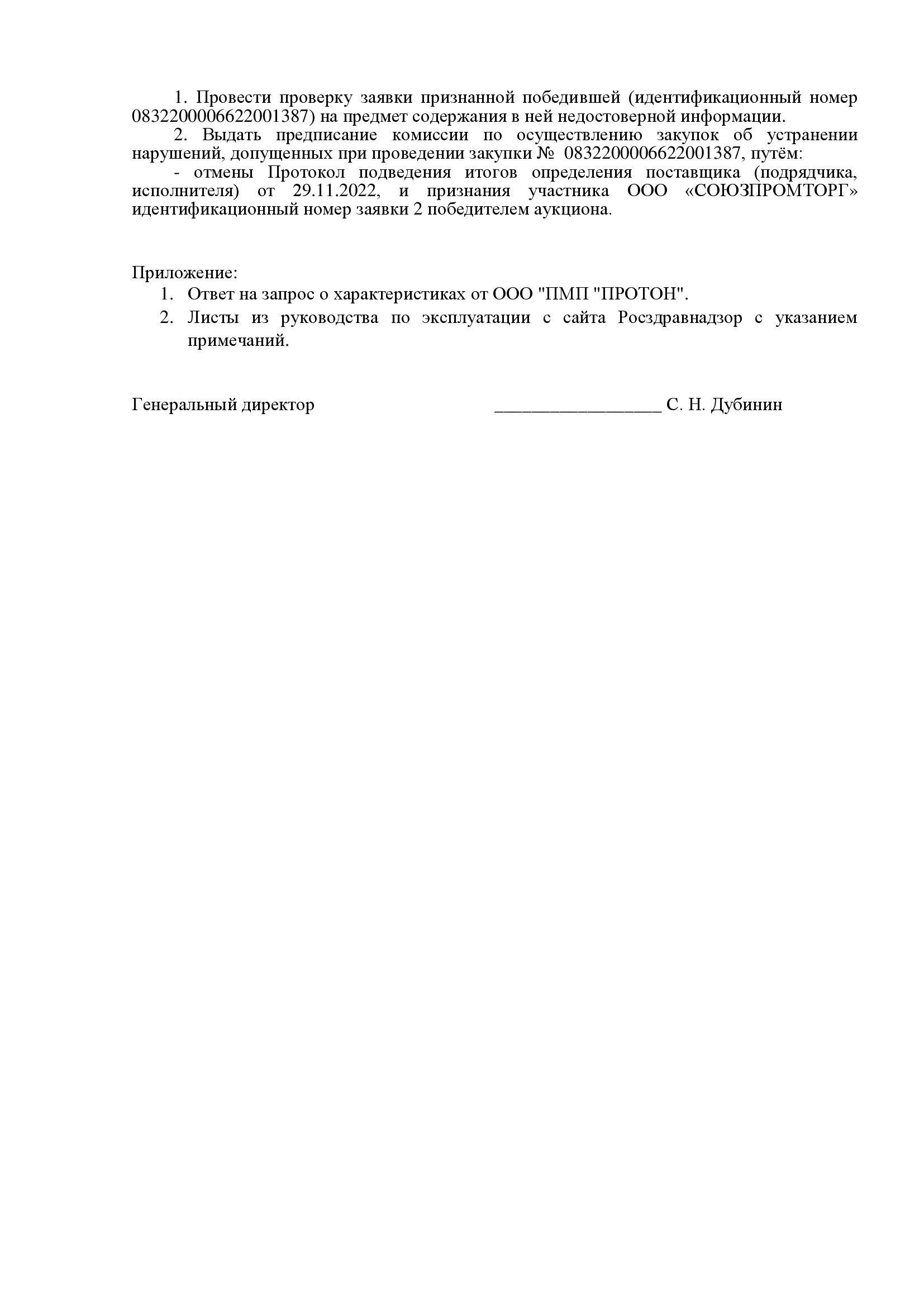
И на некие действия ООО "Зелмедсервис" подавались заявления в ФАС РФ.

Документ прислан авторами письма в Редакцию
В частности, контору г-на Степина укоряли в недостоверности информации.

Документ прислан авторами письма в Редакцию
А также в том, что она содержит продукцию иностранного производства. И просили провести проверку.
Не слишком ли много нарушений разного рода?
Еще друг доктора Золотова Павел Юрьевич Степин всплывает в мутной истории с НИПК "Электрон" (производитель "тяжелого " диагностического оборудования), в котором он одно время был заместителем регионального директора.

Фото: Rusprofile.ru
Об этом в частности, говорится, в материалах судебного процесса по скандальным поставкам 6 рентген-аппаратов.
Дело происходило в Саратовской области.

Фото: https://sudact.ru/arbitral/doc/
К слову, директор НИПК "Электрон" Александр Элинсон при возбуждении уголовного дела покинул пределы Российской Федерации.

Фото: Rusprofile.ru
И нынче находится в международном розыске! Об этом сообщает Vademec.
В итоге произошли некие изменения в составе учредителей.

Фото: Rusprofile.ru

Фото: https://sudact.ru/arbitral/doc/
Как говорится, с таким прошлым и все еще на свободе?
Кстати, поражает количество судов АО " НИПК" Электрон: 292 судебных процесса на 2 млрд. рублей!

Фото: Rusprofile.ru
Г-н Элинсон обещал обязательно вернуться в Российскую Федерацию.
А г-н Степин начал заниматься "окучиванием" районных больниц, в частности, в Нижегородской области.
И нашел "золотое дно" в Шахунской ЦРБ у г-на Золотова.
Но идем дальше. К работе "Скорой помощи" в епархии губернатора Нижегородской области Глеба Никитина, о чем пишут нам в Редакцию.
И если просмотреть ситуацию с организацией работы "Скорой помощи" в Нижегородской области, становится ясно, что тут - просто катастрофические проблемы…
Надеемся, что Министерство здравоохранения Нижегородской области в лице нового министра Галины Васильевой все-таки вмешается в ситуацию с "обрезанием" помощи со стороны "Скорой" в поселке Сява, хотя главный врач Шахунской ЦРБ Золотов уже заявил, что вопрос этот решен.
И сявичи будут ездить в Шахунью сами, на своих двоих (пока доктор Золотов "колдует" над новыми дорогими закупками для ЦРБ). Но это более 60 километров! К слову, автобус ходит 2 раза в день: утром и вечером. Услуги такси не всем по карману!
Не все, оказывается, гладко и с работой "Скорой помощи" в городе Чкаловске. Об этом пишут нижегородские СМИ, в частности "Нижний Новгород онлайн".
Министерство здравоохранения Нижегородской области начало проверку после публикации открытого обращения сотрудников "Скорой помощи "Чкаловской ЦРБ на имя президента.

"Скорая помощь" Чкаловской ЦРБ. Фото: https://nn.rbc.ru/nn/freenews/65afe0bf9a7947d300836681
Сотрудники "Скорой" пожаловались на низкие зарплаты. И пообещали устроить забастовку, если требования не будут выполнены.
В Чкаловскую ЦРБ отправлена бригада из ревизоров, представителей профсоюза работников здравоохранения и главный внештатный специалист Министерства здравоохранения Нижегородской области по "Скорой помощи".
Но почему же нет на все это безобразие в медицинской сфере никакой реакции от губернатора Глеба Никитина?
Хочется надеяться, что губернатор Глеб Никитин обратит, наконец, внимание на SOSтояние сельской медицины во вверенном ему регионе, а также на широкомасштабную, вредительскую деятельность главного врача Шахунской ЦРБ Сергея Золотова.
Пока материал готовился к печати, стало известно, что главный врач Шахунской ЦРБ Сергей Золотов собирается 7 февраля посетить многострадальный поселок Сява, чтобы объявить о новых "обрезаниях" в сельской медицине… Очень хочется надеяться, что до 7 февраля г-ну Золотову, наконец, как следует, "дадут по рукам"…